副標題#e# 0前言
點線嚙合齒輪是一種新型傳動齒輪,相互嚙合時既有線接觸又有點嚙合,與同樣材料的漸開線齒輪相比接觸強度提高1.93倍,彎曲強度提高15%,噪音降低10-20 dB,具有廣闊的應用前景。由于點線嚙合齒輪齒廓的復雜性,目前尚沒有專門的三維造型系統,給點線嚙合齒輪的應用及推廣帶來極大的不便。本文以SolidWorks 2006為造型軟件,通過Visual Basic 6.0調用SolidWorks API庫函數,程序運行后用戶先進行齒輪參數的輸人,而后程序自動打開SolidWorks程序,并白動生成點線嚙合齒輪的三維造型,從而使設計者完全擺脫了復雜的手工繪制過程。
1點線嚙合齒輪齒廓曲線方程
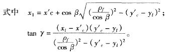
點線嚙合齒輪其小齒輪是漸開線變位的特殊短齒,大齒輪為具有部分漸開線和過渡曲線的凹齒廓。如圖1所示,xoy坐標系是固定在齒輪坯卜的靜坐標系,坐標系原點。在齒輪坯的中心;x1py1坐標系是固定在齒條刀具上的動坐標系,其原點P的起始位置取在齒輪輪齒對稱軸線與分度圓的交點P處。根據齒輪嚙合原理,當用齒條形刀具加工時,動坐標x1dy1的坐標軸py1沿被加工齒輪分度圓半徑:作純滾動,齒條刀具在齒輪壞上形成的包絡線就是齒輪的齒廓曲線。因此可推導出被切齒輪的齒廓曲線方程,其中齒輪齒廓漸開線部分方程式為:
點線嚙合齒輪是一種新型傳動齒輪,相互嚙合時既有線接觸又有點嚙合,與同樣材料的漸開線齒輪相比接觸強度提高1.93倍,彎曲強度提高15%,噪音降低10-20 dB,具有廣闊的應用前景。由于點線嚙合齒輪齒廓的復雜性,目前尚沒有專門的三維造型系統,給點線嚙合齒輪的應用及推廣帶來極大的不便。本文以SolidWorks 2006為造型軟件,通過Visual Basic 6.0調用SolidWorks API庫函數,程序運行后用戶先進行齒輪參數的輸人,而后程序自動打開SolidWorks程序,并白動生成點線嚙合齒輪的三維造型,從而使設計者完全擺脫了復雜的手工繪制過程。
1點線嚙合齒輪齒廓曲線方程
點線嚙合齒輪其小齒輪是漸開線變位的特殊短齒,大齒輪為具有部分漸開線和過渡曲線的凹齒廓。如圖1所示,xoy坐標系是固定在齒輪坯卜的靜坐標系,坐標系原點。在齒輪坯的中心;x1py1坐標系是固定在齒條刀具上的動坐標系,其原點P的起始位置取在齒輪輪齒對稱軸線與分度圓的交點P處。根據齒輪嚙合原理,當用齒條形刀具加工時,動坐標x1dy1的坐標軸py1沿被加工齒輪分度圓半徑:作純滾動,齒條刀具在齒輪壞上形成的包絡線就是齒輪的齒廓曲線。因此可推導出被切齒輪的齒廓曲線方程,其中齒輪齒廓漸開線部分方程式為:





相關文章
- 2021-09-08BIM技術叢書Revit軟件應用系列Autodesk Revit族詳解 [
- 2021-09-08全國專業技術人員計算機應用能力考試用書 AutoCAD2004
- 2021-09-08EXCEL在工作中的應用 制表、數據處理及宏應用PDF下載
- 2021-08-30從零開始AutoCAD 2014中文版機械制圖基礎培訓教程 [李
- 2021-08-30從零開始AutoCAD 2014中文版建筑制圖基礎培訓教程 [朱
- 2021-08-30電氣CAD實例教程AutoCAD 2010中文版 [左昉 等編著] 20
- 2021-08-30電影風暴2:Maya影像實拍與三維合成攻略PDF下載
- 2021-08-30高等院校藝術設計案例教程中文版AutoCAD 建筑設計案例
- 2021-08-29環境藝術制圖AutoCAD [徐幼光 編著] 2013年PDF下載
- 2021-08-29機械AutoCAD 項目教程 第3版 [繆希偉 主編] 2012年PDF