1、前言
SolidWorks 是現代工程設計中最常用的三維設計軟件 ,目前在國內外得到廣泛應用。但是在計算機上直接實現曲線的精確繪制和精確的造型往往比較困難 ,因為它不提供精確繪制曲線的命令。以機械工程中最常用的漸開線齒輪為例 ,因為 SolidWorks中沒有繪制漸開線的命令 ,對于漸開線如果采用簡化畫法近似 ,然后再進行圓周陣列 ,這樣作出的漸開線齒輪的輪廓曲線不僅不精確 ,而且要作出不同模數m 、不同齒數 z 、不同變位系數 X 的各種齒輪的三維實體模型就變得更加困難,同時也浪費了設計者大量的時間和精力。
本文提供了一種用 SolidWorks強大的繪圖功能、二次開發功能 ,在 SolidWorks中自動生成漸開線齒輪的精確輪廓曲線并將其引用到 SolidWorks 草圖中 ,就可以實現 SolidWorks草圖上精確輪廓曲線的繪制。這一方法使建立各種漸開線齒輪的三維實體模型的過程變得方便、快捷 ,同時也提高了繪圖精確度。
2、齒輪漸開線齒廓的生成
齒輪漸開線齒廓的生成是根據范成法切削齒輪的原理 ,用 VC + +語言編制程序 ,并作為 SolidWorks 的插件加載并在 SolidWorks中運行 ,即可在計算機上畫出齒輪的精確齒廓曲線 ,和生成不同模數 m 、不同齒數 z 、不同變位系數 X 的各種齒輪的三維實體模型。
2. 1 齒輪輪廓程序的生成
2.1.1漸開線齒輪輪廓程序的生成過程
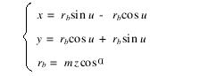
齒輪的漸開線的直角坐標方程 :
2.1.2 SolidWorks 提供了繪制曲線的命令
通過自由點的樣條曲線:
2.1.3用 VC + + MFC 建立對話框選擇齒輪的各個參數值
其對話框如圖 1 所示。
2.1.4 計算出齒輪的一些相關的尺寸 ,分度圓直徑、齒頂圓和齒根圓直徑等;
2.1.5 根據漸開線的展成角求出了確定齒頂圓弧段、齒根圓弧段位置的角度 ;再根據前面計算的齒頂圓、齒根圓的基本尺寸 ,確定出兩段圓弧中的關鍵點 ,就可利用 SolidWorks中的圓弧命令畫出位于齒頂圓和齒根圓部位的齒輪廓線。
2.1.6 根據漸開線方程選擇不同的參數可求出漸開線部分的齒輪廓線 ,如圖 2 所示。
2. 2 漸開線源程序
漸開線齒輪輪廓生成的部分程序如下:
3 在 SolidWorks 中建造模型
3.1 在 SolidWorks 中通過插件裝載齒輪輪廓曲線程序。按照選擇的齒輪類型、齒輪模數 m 、齒數 z 、變位系數 X、壓力角α,即可自動生成需要的漸開線齒輪的輪廓曲線(單個齒圖 3 所示) 。
3.2 在基體特征上 ,通過拉伸切除操作切制單個輪齒 ,圖 3所示。
3.3 將拉伸 - 切除的特征做圓周陣列,生成完整的齒輪 ,并根據設計要求添加其他特征和圓角特征等等。
圖 4 給出了 m = 3 z = 60的鑄造腹板結構的標準齒輪。
3.4 按需要可進行系統裝配、動畫制作。
4結論
借助 SolidWorks 強大的繪圖功能、二次開發功能能很好地在計算機上實現方程曲線的精確繪制和精確造型。齒輪漸開線曲線的精確繪制 ,一直是人們關注的三維 CAD 設計的難點問題。該方法利用 VC + + 實現了變量化自動生成漸開線齒輪輪廓的二維曲線的精確繪制。也可用于其它任意方程曲線的精確繪制。該方法不但保證了造型的精確性 ,也是模型的建立和裝配、有限元分析和運動學分析、加工仿真的基礎。
SolidWorks 是現代工程設計中最常用的三維設計軟件 ,目前在國內外得到廣泛應用。但是在計算機上直接實現曲線的精確繪制和精確的造型往往比較困難 ,因為它不提供精確繪制曲線的命令。以機械工程中最常用的漸開線齒輪為例 ,因為 SolidWorks中沒有繪制漸開線的命令 ,對于漸開線如果采用簡化畫法近似 ,然后再進行圓周陣列 ,這樣作出的漸開線齒輪的輪廓曲線不僅不精確 ,而且要作出不同模數m 、不同齒數 z 、不同變位系數 X 的各種齒輪的三維實體模型就變得更加困難,同時也浪費了設計者大量的時間和精力。
本文提供了一種用 SolidWorks強大的繪圖功能、二次開發功能 ,在 SolidWorks中自動生成漸開線齒輪的精確輪廓曲線并將其引用到 SolidWorks 草圖中 ,就可以實現 SolidWorks草圖上精確輪廓曲線的繪制。這一方法使建立各種漸開線齒輪的三維實體模型的過程變得方便、快捷 ,同時也提高了繪圖精確度。
2、齒輪漸開線齒廓的生成
齒輪漸開線齒廓的生成是根據范成法切削齒輪的原理 ,用 VC + +語言編制程序 ,并作為 SolidWorks 的插件加載并在 SolidWorks中運行 ,即可在計算機上畫出齒輪的精確齒廓曲線 ,和生成不同模數 m 、不同齒數 z 、不同變位系數 X 的各種齒輪的三維實體模型。
2. 1 齒輪輪廓程序的生成
2.1.1漸開線齒輪輪廓程序的生成過程
齒輪的漸開線的直角坐標方程 :


2.1.2 SolidWorks 提供了繪制曲線的命令
通過自由點的樣條曲線:

2.1.3用 VC + + MFC 建立對話框選擇齒輪的各個參數值
其對話框如圖 1 所示。

2.1.4 計算出齒輪的一些相關的尺寸 ,分度圓直徑、齒頂圓和齒根圓直徑等;
2.1.5 根據漸開線的展成角求出了確定齒頂圓弧段、齒根圓弧段位置的角度 ;再根據前面計算的齒頂圓、齒根圓的基本尺寸 ,確定出兩段圓弧中的關鍵點 ,就可利用 SolidWorks中的圓弧命令畫出位于齒頂圓和齒根圓部位的齒輪廓線。
2.1.6 根據漸開線方程選擇不同的參數可求出漸開線部分的齒輪廓線 ,如圖 2 所示。

2. 2 漸開線源程序
漸開線齒輪輪廓生成的部分程序如下:

3 在 SolidWorks 中建造模型
3.1 在 SolidWorks 中通過插件裝載齒輪輪廓曲線程序。按照選擇的齒輪類型、齒輪模數 m 、齒數 z 、變位系數 X、壓力角α,即可自動生成需要的漸開線齒輪的輪廓曲線(單個齒圖 3 所示) 。

3.2 在基體特征上 ,通過拉伸切除操作切制單個輪齒 ,圖 3所示。
3.3 將拉伸 - 切除的特征做圓周陣列,生成完整的齒輪 ,并根據設計要求添加其他特征和圓角特征等等。
圖 4 給出了 m = 3 z = 60的鑄造腹板結構的標準齒輪。

3.4 按需要可進行系統裝配、動畫制作。
4結論
借助 SolidWorks 強大的繪圖功能、二次開發功能能很好地在計算機上實現方程曲線的精確繪制和精確造型。齒輪漸開線曲線的精確繪制 ,一直是人們關注的三維 CAD 設計的難點問題。該方法利用 VC + + 實現了變量化自動生成漸開線齒輪輪廓的二維曲線的精確繪制。也可用于其它任意方程曲線的精確繪制。該方法不但保證了造型的精確性 ,也是模型的建立和裝配、有限元分析和運動學分析、加工仿真的基礎。
相關文章
- 2021-09-08BIM技術叢書Revit軟件應用系列Autodesk Revit族詳解 [
- 2021-09-08全國專業技術人員計算機應用能力考試用書 AutoCAD2004
- 2021-09-08EXCEL在工作中的應用 制表、數據處理及宏應用PDF下載
- 2021-08-30從零開始AutoCAD 2014中文版機械制圖基礎培訓教程 [李
- 2021-08-30從零開始AutoCAD 2014中文版建筑制圖基礎培訓教程 [朱
- 2021-08-30電氣CAD實例教程AutoCAD 2010中文版 [左昉 等編著] 20
- 2021-08-30電影風暴2:Maya影像實拍與三維合成攻略PDF下載
- 2021-08-30高等院校藝術設計案例教程中文版AutoCAD 建筑設計案例
- 2021-08-29環境藝術制圖AutoCAD [徐幼光 編著] 2013年PDF下載
- 2021-08-29機械AutoCAD 項目教程 第3版 [繆希偉 主編] 2012年PDF