漸縮彎頭是管道工程中常用的變徑轉彎構件,它是由若干錐度相同的圓錐管對接而成,接口處的結合線為平面曲線,投影中積聚為直線。兩端口平面根據需要成一定角度λ,中間各節圓錐管的軸線較長,兩端節軸線較短,相當于中間節的一半。展開時為節省板材和提高精度,常將偶數節管繞其自身軸線旋轉180°后,把各節管拼接為一正圓錐管進行展開,正圓錐管的高度等于彎管各節軸線長度之和。
漸縮彎頭的展開方法,傳統常用的方法是“作圖法”和“計算法”。應用傳統的方法對漸縮彎頭進行展開比較繁瑣且精度不高。盡管一些資料上介紹了一些展開計算的數據表,可以減輕部分計算丁作量,但這些數據表不全面,只對一些常用的漸縮彎頭展開有用。
基于此,下面擬以漸縮彎頭管件的展開為例,利用solidWorks三維繪圖軟件,介紹一種新的展開方法。
l 實例
圖l所示為任一漸縮彎頭管件。其中圖1a為其立體圖;圖1b為平面圖。從圖中可以看出,該漸縮彎頭管件的端口直徑D=600 mm,d=360 mm;彎頭彎曲中心線半徑R=600 mm;端口平面夾角λ=100°,節數,N=5。要求求出該漸縮彎頭管件的平面展開圖?,F在設定漸縮彎頭的展開按薄板處理,忽略板料厚度。

▲圖1漸縮彎頭
2 展開計算
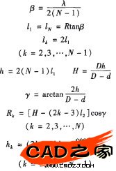
根據漸縮彎頭的特性和傳統計算公式,對漸縮彎頭進行必要的計算如下:
(1-7)
式中各參數所表示的意義參照圖1b及圖2。根據以上公式,已知條件與計算結果如下:
已知條件:D=600mm,d=360 mm,R=600mm,λ=100°,N=5。
計算所問數據:B=12.5°.
=133.h=1064.16;H=2660.4;y=83.57°;
=164.53;
=423.57;
=682.61;
=941.64。
根據所得數據,做出漸縮彎頭管件的放樣圖,如圖2所示。

▲圖2漸縮彎頭放樣圖
3漸縮彎頭實體建模
3.1正圓錐建模
(1)漸縮彎頭將偶數節旋轉180°后,各節拼接后為一正圓錐。首先對該正圓錐進行實體建模。
(2)繪制“草圖l”,選擇“前視基準面“→”草圖繪制(2D草圖)”,繪制一個直角梯形(尺寸參照圖2所示),選擇“特征“→”旋轉凸臺”,以直角梯形的直角邊為中心軸,旋轉得到如圖3所示的正圓錐。

▲圖3正圓錐實體
(3)分別過直線
,且垂直于“前視基準面”,作“基準面l”、“基準面2”、“基準面3”和“基準面4”。
(4)分別用“基準面l”、“基準面2”、“基準面3”和“基準面4”截取正圓錐,所得的4個截面均為橢圓,測量其長軸和短軸,所得數據如下表所示。
四個橢圓截面的長軸和短軸表

表中截面1為過直線
的基準面1截正圓錐所得的橢圓,截面2為過直線
的基準面2截正圓錐所得的橢圓,截面3、截面4依次類推。
3.2第1節建模
(1)選擇“新建“→”零件”,繪制“草圖1”,選擇“前視基準面“→”草圖繪制(2D草圖)”,繪制如圖1b)所示的草圖(把圖1b)中的實線全部改為虛線)。

▲圖4草圖2(第1節)
(2)繪制“草圖2”,選擇“上視基準面“→”草圖繪制(2D草圖)“→”圓”,繪制如圖4所示的草圖,在草圖的一側留一切口,切口形狀如圖5所示。

▲圖5切口形狀
(3)繪制“草圖3”,過直線
且垂直于“前視基準面”,作“基準面1”,選擇“基準面l“→”草圖繪制(2D草圖)“→”橢圓”,繪制如圖6所示的草圖,橢圓的長軸和短軸與表2中截面l的長軸與短軸相同。在草圖的一側留一切口(切口位置與草圖l中切口在相同一側),切口形狀如圖5所示;切口的寬度應盡可能的小,但不能太小。否則不能生成放樣實體。

▲圖6草圖3(第l節)
(4)生成第1節鈑金實體,選擇“鈑金“→”放樣折彎”,“輪廓”選擇”草圖2”和“草圖3”,厚度輸入0.005(任意輸入,數值越小越好),生成漸縮彎頭第l節實體如圖7所示。

▲圖7第1節實體
(5)保存,命名“第l節實體”。
3.3第2節建模
(1)重復3.2中步驟l,繪制“草圖l”。
(2)繪制“草圖2”,過直線
且垂直于“前視基準面”,作“基準面l”,在“基準面l”上繪制“草圖2”,長軸與
重合,橢圓形狀與圖6完全相同,不同之處為切口旋轉180°到對側。
(3)繪制“草圖3”,過直線
且垂直于“前視基準面”,作“基準面2”,在“基準面2”上繪制“草圖3”,形狀為橢圓,橢圓的長軸和短軸與表2中截面2相同,且長軸與直線
重合。切口位置與“草圖2”在同一側,形狀如圖5所示。
(4)生成第2節實體,選擇“鈑金“→”放樣折彎”,“輪廓“選擇”草圖2”和“草圖3”,厚度輸入0.005,生成如圖8所示的實體。

▲圖8第2節實體
(5)保存,命名“第2節實體”。
3.4第3節、第4節、第5節實體建模
參照3.2和3.3中的步驟,分別創建第3節、第4節、第5節實體,如圖9、圖10、圖ll所示。在繪制草圖時,橢圓的長軸和短軸與表2相對應,圓為直徑為端口直徑;同一實體中的兩個草圖切口在同一側,偶數節橢圓草圖的切口與奇數節反轉180°。

▲圖9第3節實體

▲圖10第4節實體

▲圖11第5節實體
4 漸縮彎頭平面展開
根據solidworks中鈑金件可以展開的特性,把五節實體全部按“平板型式”展開,并生成工程圖,然后按順序依次將五個展開的工程圖拼接起來,便形成該漸縮彎頭的平面展開圖,如圖12所示。這樣就可以對展開圖進行任意等分,標注各節管相應素線的長度。

▲圖12漸縮彎頭展開圖
5 結論
以上利用三維軟件solidworks,對漸縮彎頭管件五節管分別進行鈑金建模??紤]實際加工中節省材料的情況,在對五節管件建模時,把偶數節草圖的切口與奇數節草圖切口反轉180°。根據SolidWorks軟件中鈑金件可以進行平面展開的特性,把五節管分別按“平板型式”展開,然后轉化成工程圖,按順序將五個工程圖拼接起來,便形成該漸縮彎頭的展開圖。該方法能夠對任意彎頭端口直徑(D,d)、任意彎曲中心線半徑R、任意節數 N、任意端口平面夾角λ的漸縮彎頭管件進行快速、準確的展開,在實際生產加工中具有重要意義。
相關文章
- 2021-09-08BIM技術叢書Revit軟件應用系列Autodesk Revit族詳解 [
- 2021-09-08全國專業技術人員計算機應用能力考試用書 AutoCAD2004
- 2021-09-08EXCEL在工作中的應用 制表、數據處理及宏應用PDF下載
- 2021-08-30從零開始AutoCAD 2014中文版機械制圖基礎培訓教程 [李
- 2021-08-30從零開始AutoCAD 2014中文版建筑制圖基礎培訓教程 [朱
- 2021-08-30電氣CAD實例教程AutoCAD 2010中文版 [左昉 等編著] 20
- 2021-08-30電影風暴2:Maya影像實拍與三維合成攻略PDF下載
- 2021-08-30高等院校藝術設計案例教程中文版AutoCAD 建筑設計案例
- 2021-08-29環境藝術制圖AutoCAD [徐幼光 編著] 2013年PDF下載
- 2021-08-29機械AutoCAD 項目教程 第3版 [繆希偉 主編] 2012年PDF